Cheminformatic Tools and Databases for Pharmacology

session 89441 - Total of 3 hits - Display   hits per page:

Add another drug(s) by one keyword:
Exemple: “nib“ and click on the Search button (do not press Enter on the keyboard)

1 INNClassRoute (list)PK parameters= Cmax; Tmax; F: bioavailability; t1/2: half-life; VD: volume of distribution; Cl: clearance; PPB: plasma protein binding;(EQN means that the equation t1/2 = VD / Cl * 0.693 was usedPrimary Target and PDB code of Protein-Drug complexTargets from DrugCentral Links
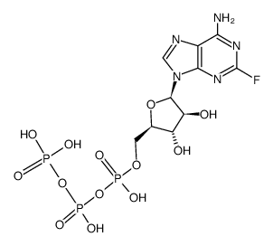
FLUDARABINE (is an active metabolite) (has an active metabolite)

FLUDARABINE


ATC L01BB05

ANTINEOPLASTIC
ANTIMETABOLITES
IMMUNOSUPPRESSIVE AGENTS
PHOSPHORYLATED BY DEOXYCYTIDINE KINASE TO THE ACTIVE TRIPHOSPHATE

-

Tmax 1.5 HOUR

F 57 PERCENT

VD 143 LITER (65 KILOGRAM)

PPB 24 PERCENT

Cl 12.4 LITER / HOUR (65 KILOGRAM)

HT 20 HOUR

DEOXYCYTIDINE KINASE

DNA polymerase alpha catalytic subunit UNIPROT P09884 POLA1

more at DrugCentral

EMA

ANSM (in French)

Inxight Drugs
Dailymed
Drugs.com

VigiAccess
SIDER side effects

Chemical Probes Portal

ChEMBL
BindingDB
DrugBank

2 INNClassRoute (list)PK parameters= Cmax; Tmax; F: bioavailability; t1/2: half-life; VD: volume of distribution; Cl: clearance; PPB: plasma protein binding;(EQN means that the equation t1/2 = VD / Cl * 0.693 was usedPrimary Target and PDB code of Protein-Drug complexTargets from DrugCentral Links
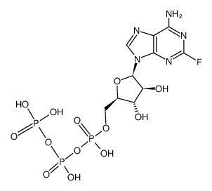
FLUDARABINE PHOSPHATE (has an active metabolite)

FLUDARABINE PHOSPHATE


ATC L01BB05

ANTINEOPLASTIC
ANTIMETABOLITES
IMMUNOSUPPRESSIVE AGENTS
RAPIDLY DEPHOSPHORYLATED INTO FLUDARABINE AND THEN PHOSPHORYLATED BY DEOXYCYTIDINE KINASE TO THE ACTIVE TRIPHOSPHATE

INJECTION ORAL DNA POLYMERASE ALPHA, GAMMA AND DELTA
RIBONUCLEOTIDE DIPHOSPHATE REDUCTASE
DNA PRIMASE
DNA LIGASE I

DNA polymerase alpha catalytic subunit UNIPROT P09884 POLA1

more at DrugCentral

EMA

ANSM (in French)

Inxight Drugs
Dailymed
Drugs.com

VigiAccess
SIDER side effects

Chemical Probes Portal

ChEMBL
BindingDB
DrugBank

3 INNClassRoute (list)PK parameters= Cmax; Tmax; F: bioavailability; t1/2: half-life; VD: volume of distribution; Cl: clearance; PPB: plasma protein binding;(EQN means that the equation t1/2 = VD / Cl * 0.693 was usedPrimary Target and PDB code of Protein-Drug complexTargets from DrugCentral Links
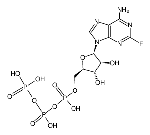
M FLUDARABINE (is an active metabolite)

FLUDARABINE


ATC L01BB05

ANTINEOPLASTIC
ANTIMETABOLITES
IMMUNOSUPPRESSIVE AGENTS
FLUDARABINE PHOSPHATE IS RAPIDLY DEPHOSPHORYLATED AND THEN PHOSPHORYLATED BY DEOXYCYTIDINE KINASE TO THE ACTIVE TRIPHOSPHATE

- DNA POLYMERASE ALPHA, GAMMA AND DELTA
RIBONUCLEOTIDE DIPHOSPHATE REDUCTASE
DNA PRIMASE
DNA LIGASE I

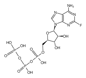
PDB 6DWK (SAMHD1 BOUND TO FLUDARABINE-TP IN THE CATALYTIC POCKET)

LIGAND CODE = HFD (link to the list of PDB complexes)

Download experimental 3D coordinates of HFD with added hydrogens

DNA polymerase alpha catalytic subunit UNIPROT P09884 POLA1

more at DrugCentral

EMA

ANSM (in French)

Inxight Drugs
Dailymed
Drugs.com

VigiAccess
SIDER side effects

Chemical Probes Portal

ChEMBL
BindingDB
DrugBank



Copyright © 2019 Université Côte d'Azur CNRS - All rights reserved
  | Contact |