Cheminformatic Tools and Databases for Pharmacology

Total of 2 hits - Display   hits per page:

Add another drug(s) by one keyword:
Exemple: “nib“ and click on the Search button (do not press Enter on the keyboard)

1 INNClassRoute (list)PK parameters= Cmax; Tmax; F: bioavailability; t1/2: half-life; VD: volume of distribution; Cl: clearance; PPB: plasma protein binding;(EQN means that the equation t1/2 = VD / Cl * 0.693 was usedPrimary Target and PDB code of Protein-Drug complexTargets from DrugCentral Links
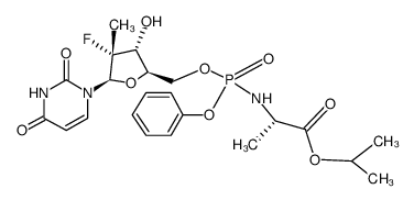
M SOFOSBUVIR (is an active metabolite)

SOFOSBUVIR


ATC J05AP08
ATC J05AP51
ATC J05AP55
ATC J05AP56

ANTIINFECTIVES
TREATMENT OF CHRONIC HEPATITIS C (CHC) INFECTION
HEPATITIS C VIRUS (HCV) NUCLEOTIDE ANALOG NS5B POLYMERASE INHIBITOR

-

Tmax 3 HOUR

HT 27 HOUR

HEPATITIS C VIRUS (HCV) NUCLEOTIDE ANALOG NS5B POLYMERASE

NS5B protein UNIPROT Q8JXU8 NS5B -- Genome polyprotein UNIPROT P27958

more at DrugCentral

EMA

ANSM (in French)

Inxight Drugs
Dailymed
Drugs.com

VigiAccess
SIDER side effects

Chemical Probes Portal

ChEMBL
BindingDB
DrugBank

2 INNClassRoute (list)PK parameters= Cmax; Tmax; F: bioavailability; t1/2: half-life; VD: volume of distribution; Cl: clearance; PPB: plasma protein binding;(EQN means that the equation t1/2 = VD / Cl * 0.693 was usedPrimary Target and PDB code of Protein-Drug complexTargets from DrugCentral Links
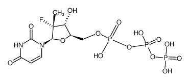
SOFOSBUVIR (has an active metabolite)

SOFOSBUVIR


ATC J05AP08
ATC J05AP51
ATC J05AP55
ATC J05AP56

ANTIINFECTIVES
TREATMENT OF CHRONIC HEPATITIS C (CHC) INFECTION
HEPATITIS C VIRUS (HCV) NUCLEOTIDE ANALOG NS5B POLYMERASE INHIBITOR

ORAL

Tmax 1.25 HOUR

PPB 63 PERCENT

HT 0.4 HOUR

SOLUBILITY SLIGHTLY SOLUBLE IN WATER

HEPATITIS C VIRUS (HCV) NUCLEOTIDE ANALOG NS5B POLYMERASE

PDB 8FHS (HUMAN L-TYPE VOLTAGE-GATED CALCIUM CHANNEL CAV1.2 IN THE PRESENCE OF AMIODARONE AND SOFOSBUVIR AT 3.3 ANGSTROM RESOLUTION)

LIGAND CODE = WG6 (link to the list of PDB complexes)

Download experimental 3D coordinates of WG6 with added hydrogens

NS5B protein UNIPROT Q8JXU8 NS5B -- Genome polyprotein UNIPROT P27958

more at DrugCentral

EMA

ANSM (in French)

Inxight Drugs
Dailymed
Drugs.com

VigiAccess
SIDER side effects

Chemical Probes Portal

ChEMBL
BindingDB
DrugBank



Copyright © 2019 Université Côte d'Azur CNRS - All rights reserved
  | Contact |