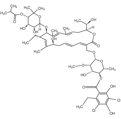
| FIDAXOMICIN (has an active metabolite) 
| FIDAXOMICIN | ATC A07AA12
ANTIINFECTIVES MACROLIDE TREATMENT OF CLOSTRIDIUM DIFFICILE-ASSOCIATED DIARRHEA INHIBITOR RNA SYNTHESIS BY RNA POLYMERASES | ORAL | Cmax 4.9 NANOMOLAR (200 MILLIGRAM) Tmax 2 HOUR HT 11.7 HOUR | BETA SUBUNIT OF RNA POLYMERASE PDB 6BZO (MTB RNAP HOLO, RBPA, FIDAXOMICIN, UPSTREAM FORK DNA) LIGAND CODE = FI8 (link to the list of PDB complexes) Download experimental 3D coordinates of FI8 with added hydrogens | DNA-directed RNA polymerase UNIPROT Q182S6 rpoZ more at DrugCentral | EMA ANSM (in French) Inxight Drugs Dailymed Drugs.com VigiAccess SIDER side effects Chemical Probes Portal ChEMBL BindingDB DrugBank |