| CHLORAMPHENICOL DISCONTINUED (is an active metabolite) 
| CHLORAMPHENICOL | ATC D06AX02 ATC D10AF03 ATC G01AA05 ATC J01BA01 ATC S01AA01 ATC S02AA01 ATC S03AA08
ANTIINFECTIVES ANTIRICKETTSIAL ANTIBIOTIC ANTIBACTERIAL PROTEIN SYNTHESIS INHIBITORS PRODUCT BY STREPTOMYCES VENEZUELAE | OPHTHALMIC INJECTION TOPICAL OTIC ORAL | VD 61 LITER (65 KILOGRAM) PPB 66 PERCENT Cl 9.3 LITER / HOUR (65 KILOGRAM) HT 4.6 HOUR | 50S RIBOSOMAL PROTEIN PDB 4V7W (STRUCTURE OF THE THERMUS THERMOPHILUS RIBOSOME COMPLEXED WITH CHLORAMPHENICOL) LIGAND CODE = CLM (link to the list of PDB complexes) Download experimental 3D coordinates of CLM with added hydrogens | Unknown more at DrugCentral | EMA ANSM (in French) Inxight Drugs Dailymed Drugs.com VigiAccess SIDER side effects Chemical Probes Portal ChEMBL BindingDB DrugBank |
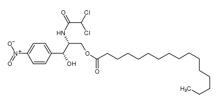
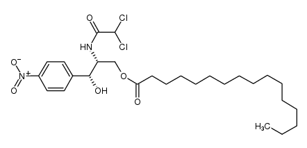
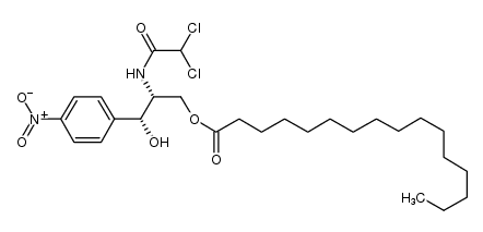
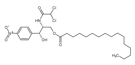
| CHLORAMPHENICOL PALMITATE DISCONTINUED (has an active metabolite) 
| CHLORAMPHENICOL PALMITATE | ATC D06AX02 ATC D10AF03 ATC G01AA05 ATC J01BA01 ATC S01AA01 ATC S02AA01 ATC S03AA08
DERMATOLOGICAL ANTIBACTERIAL ANTIRICKETTSIAL ANTIBIOTIC PROTEIN SYNTHESIS INHIBITORS | ORAL | | 50S RIBOSOMAL PROTEIN | BACTERIAL 70S RIBOSOME INHIBITOR CHEMBL2363135 BACTERIAL 70S RIBOSOME 23S RIBOSOMAL RNA BACTERIA more at DrugCentral | EMA ANSM (in French) Inxight Drugs Dailymed Drugs.com VigiAccess SIDER side effects Chemical Probes Portal ChEMBL BindingDB DrugBank |