Cheminformatic Tools and Databases for Pharmacology

session 78438 - Total of 2 hits - Display   hits per page:

Add another drug(s) by one keyword:
Exemple: “nib“ and click on the Search button (do not press Enter on the keyboard)

1 INNClassRoute (list)PK parameters= Cmax; Tmax; F: bioavailability; t1/2: half-life; VD: volume of distribution; Cl: clearance; PPB: plasma protein binding;(EQN means that the equation t1/2 = VD / Cl * 0.693 was usedPrimary Target and PDB code of Protein-Drug complexTargets from DrugCentral Links
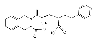
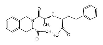
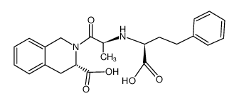
QUINAPRIL (has an active metabolite)

QUINAPRIL


ATC C09AA06
ATC C09BA06

CARDIOVASCULAR
ANTIHYPERTENSIVE
ANGIOTENSIN-CONVERTING ENZYME (ACE) INHIBITOR

ORAL

Tmax 1 HOUR

F 60 PERCENT

PPB 97 PERCENT

SOLUBILITY FREELY SOLUBLE IN WATER

ANGIOTENSIN-CONVERTING ENZYME

Angiotensin-converting enzyme UNIPROT P12821 ACE

more at DrugCentral

EMA

ANSM (in French)

Inxight Drugs
Dailymed
Drugs.com

VigiAccess
SIDER side effects

Chemical Probes Portal

ChEMBL
BindingDB
DrugBank

2 INNClassRoute (list)PK parameters= Cmax; Tmax; F: bioavailability; t1/2: half-life; VD: volume of distribution; Cl: clearance; PPB: plasma protein binding;(EQN means that the equation t1/2 = VD / Cl * 0.693 was usedPrimary Target and PDB code of Protein-Drug complexTargets from DrugCentral Links
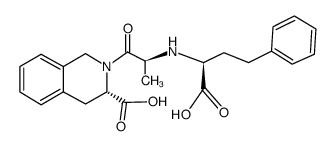
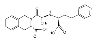
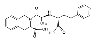
QUINAPRILAT (is an active metabolite)

QUINAPRILAT


ATC C09AA06
ATC C09BA06

CARDIOVASCULAR
ANTIHYPERTENSIVE
ANGIOTENSIN-CONVERTING ENZYME (ACE) INHIBITOR

-

Tmax 2 HOUR

VD 8.4 LITER (65 KILOGRAM)

PPB 97 PERCENT

Cl 3.6 LITER / HOUR (65 KILOGRAM)

HT 2 HOUR

ANGIOTENSIN-CONVERTING ENZYME

Angiotensin-converting enzyme UNIPROT P12821 ACE

more at DrugCentral

EMA

ANSM (in French)

Inxight Drugs
Dailymed
Drugs.com

VigiAccess
SIDER side effects

Chemical Probes Portal

ChEMBL
BindingDB
DrugBank



Copyright © 2019 Université Côte d'Azur CNRS - All rights reserved
  | Contact |