Cheminformatic Tools and Databases for Pharmacology

session 60721 - Total of 3 hits - Display   hits per page:

Add another drug(s) by one keyword:
Exemple: “nib“ and click on the Search button (do not press Enter on the keyboard)

1 INNClassRoute (list)PK parameters= Cmax; Tmax; F: bioavailability; t1/2: half-life; VD: volume of distribution; Cl: clearance; PPB: plasma protein binding;(EQN means that the equation t1/2 = VD / Cl * 0.693 was usedPrimary Target and PDB code of Protein-Drug complexTargets from DrugCentral Links
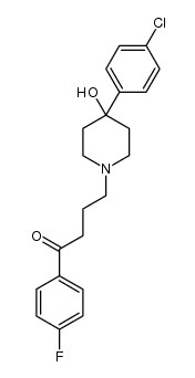
HALOPERIDOL (is an active metabolite)

HALOPERIDOL


ATC N05AD01

NERVOUS SYSTEM
ANTIPSYCHOTIC
TREATMENT OF SCHIZOPHRENIA
ANTIDYSKINETICS
DOPAMINE ANTAGONISTS
A BUTYROPHENONE NEUROLEPTIC AGENT

ORAL INJECTION

Cmax 15.3 NANOMOLAR

Tmax 4 HOUR

F 60 PERCENT

VD 1105 LITER (65 KILOGRAM)

PPB 92 PERCENT

Cl 30.4 LITER / HOUR (65 KILOGRAM)

HT 35 HOUR

D(1A) DOPAMINE RECEPTOR
D(2) DOPAMINE RECEPTOR

PDB 6DJZ (HUMAN SIGMA-1 RECEPTOR BOUND TO HALOPERIDOL)

LIGAND CODE = GMJ (link to the list of PDB complexes)

Download experimental 3D coordinates of GMJ with added hydrogens

D(2) dopamine receptor UNIPROT P14416 DRD2

more at DrugCentral

EMA

ANSM (in French)

Inxight Drugs
Dailymed
Drugs.com

VigiAccess
SIDER side effects

Chemical Probes Portal

ChEMBL
BindingDB
DrugBank

2 INNClassRoute (list)PK parameters= Cmax; Tmax; F: bioavailability; t1/2: half-life; VD: volume of distribution; Cl: clearance; PPB: plasma protein binding;(EQN means that the equation t1/2 = VD / Cl * 0.693 was usedPrimary Target and PDB code of Protein-Drug complexTargets from DrugCentral Links
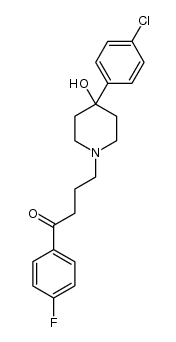
HALOPERIDOL DECANOATE (has an active metabolite)

HALOPERIDOL DECANOATE


ATC N05AD01

NERVOUS SYSTEM
ANTIPSYCHOTIC
DOPAMINE ANTAGONIST
DECANOATE ESTER OF THE BUTYROPHENONE
BLOCKS THE EFFECTS OF DOPAMINE
THE TREATMENT OF SCHIZOPHRENIC PATIENTS
BUTYROPHENONE DERIVATIVES

INJECTION

SOLUBILITY ALMOST INSOLUBLE IN WATER 0.01 MILLIGRAM / MILLILITER

DOPAMINE D2 RECEPTOR

D(2) dopamine receptor UNIPROT P14416 DRD2 -- D(2) dopamine receptor UNIPROT P14416 DRD2

more at DrugCentral

EMA

ANSM (in French)

Inxight Drugs
Dailymed
Drugs.com

VigiAccess
SIDER side effects

Chemical Probes Portal

ChEMBL
BindingDB
DrugBank

3 INNClassRoute (list)PK parameters= Cmax; Tmax; F: bioavailability; t1/2: half-life; VD: volume of distribution; Cl: clearance; PPB: plasma protein binding;(EQN means that the equation t1/2 = VD / Cl * 0.693 was usedPrimary Target and PDB code of Protein-Drug complexTargets from DrugCentral Links
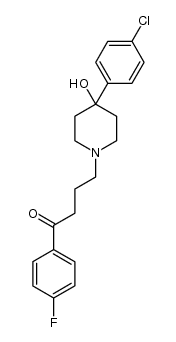
HALOPERIDOL LACTATE (has an active metabolite)

HALOPERIDOL LACTATE


ATC N05AD01

NERVOUS SYSTEM
ANTIDYSKINETICS
ANTIEMETICS
ANTIPSYCHOTIC AGENTS
BUTYROPHENONES
DOPAMINE ANTAGONISTS

ORAL INJECTION D(1A) DOPAMINE RECEPTOR
D(2) DOPAMINE RECEPTOR

D(2) dopamine receptor UNIPROT P14416 DRD2

more at DrugCentral

EMA

ANSM (in French)

Inxight Drugs
Dailymed
Drugs.com

VigiAccess
SIDER side effects

Chemical Probes Portal

ChEMBL
BindingDB
DrugBank



Copyright © 2019 Université Côte d'Azur CNRS - All rights reserved
  | Contact |