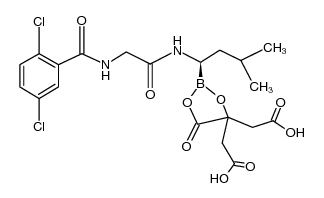
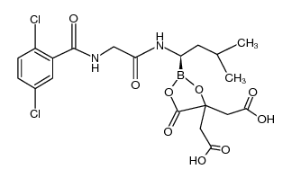
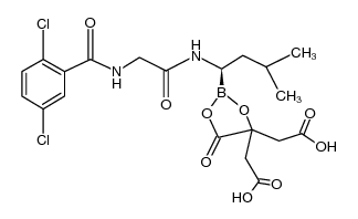
| IXAZOMIB (is an active metabolite) 
| IXAZOMIB | ATC L01XG03
ANTINEOPLASTIC TREATMENT OF MULTIPLE MYELOMA PROTEASOME INHIBITOR PRODRUG OF IXAZOMIB CHYMOTRYPSIN-LIKE ACTIVITY OF THE BETA 5 SUBUNIT OF THE 20S PROTEASOME | - | Tmax 1 HOUR F 58 PERCENT VD 543 LITER PPB 99 PERCENT Cl 1.9 LITER / HOUR HT 228 HOUR | 20S PROTEASOME PDB 5LF7 (HUMAN 20S PROTEASOME COMPLEX WITH IXAZOMIB AT 2.0 ANGSTROM) LIGAND CODE = 6V8 (link to the list of PDB complexes) Download experimental 3D coordinates of 6V8 with added hydrogens | Proteasome subunit beta type-5 UNIPROT P28074 PSMB5 more at DrugCentral | EMA ANSM (in French) Inxight Drugs Dailymed Drugs.com VigiAccess SIDER side effects Chemical Probes Portal ChEMBL BindingDB DrugBank |