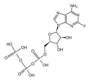
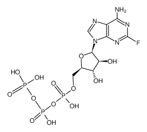
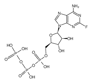
| M FLUDARABINE (is an active metabolite) 
| FLUDARABINE | ATC L01BB05
ANTINEOPLASTIC ANTIMETABOLITES IMMUNOSUPPRESSIVE AGENTS FLUDARABINE PHOSPHATE IS RAPIDLY DEPHOSPHORYLATED AND THEN PHOSPHORYLATED BY DEOXYCYTIDINE KINASE TO THE ACTIVE TRIPHOSPHATE | - | | DNA POLYMERASE ALPHA, GAMMA AND DELTA RIBONUCLEOTIDE DIPHOSPHATE REDUCTASE DNA PRIMASE DNA LIGASE I PDB 6DWK (SAMHD1 BOUND TO FLUDARABINE-TP IN THE CATALYTIC POCKET) LIGAND CODE = HFD (link to the list of PDB complexes) Download experimental 3D coordinates of HFD with added hydrogens | DNA polymerase alpha catalytic subunit UNIPROT P09884 POLA1 more at DrugCentral | EMA ANSM (in French) Inxight Drugs Dailymed Drugs.com VigiAccess SIDER side effects Chemical Probes Portal ChEMBL BindingDB DrugBank |