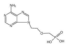
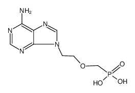
| ADEFOVIR (is an active metabolite) 
| ADEFOVIR | ATC J05AF08
ANTIINFECTIVES ANTIVIRAL AGENTS REVERSE TRANSCRIPTASE INHIBITORS TREATMENT OF CHRONIC HEPATITIS B | - | Cmax 36.7 NANOMOLAR Tmax 1.75 HOUR F 59 PERCENT VD 25.4 LITER (65 KILOGRAM) PPB 4 PERCENT Cl 14.4 LITER / HOUR (65 KILOGRAM) HT 7.48 HOUR | HBV REVERSE TRANSCRIPTASE PDB 2G1A (CRYSTAL STRUCTURE OF THE COMPLEX BETWEEN APHA CLASS B ACID PHOSPHATASE, PHOSPHOTRANSFERASE) LIGAND CODE = 5HG (link to the list of PDB complexes) Download experimental 3D coordinates of 5HG with added hydrogens | Protein P UNIPROT Q9IF40 P more at DrugCentral | EMA ANSM (in French) Inxight Drugs Dailymed Drugs.com VigiAccess SIDER side effects Chemical Probes Portal ChEMBL BindingDB DrugBank |