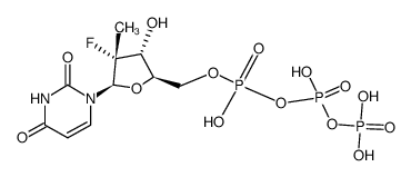
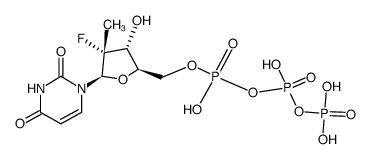
| M SOFOSBUVIR (is an active metabolite) 
| SOFOSBUVIR | ATC J05AP08 ATC J05AP51 ATC J05AP55 ATC J05AP56
ANTIINFECTIVES TREATMENT OF CHRONIC HEPATITIS C (CHC) INFECTION HEPATITIS C VIRUS (HCV) NUCLEOTIDE ANALOG NS5B POLYMERASE INHIBITOR | - | Tmax 3 HOUR HT 27 HOUR | HEPATITIS C VIRUS (HCV) NUCLEOTIDE ANALOG NS5B POLYMERASE | NS5B protein UNIPROT Q8JXU8 NS5B -- Genome polyprotein UNIPROT P27958 more at DrugCentral | EMA ANSM (in French) Inxight Drugs Dailymed Drugs.com VigiAccess SIDER side effects Chemical Probes Portal ChEMBL BindingDB DrugBank |