| FLUOROURACIL (is an active metabolite) (has an active metabolite) 
| FLUOROURACIL | ATC L01BC02 ATC L01BC52
ANTINEOPLASTIC ANTIMETABOLITES IMMUNOSUPPRESSIVE AGENTS | INJECTION TOPICAL | Cmax 88.3 NANOMOLAR Tmax 1.03 HOUR VD 14.9 LITER (65 KILOGRAM) PPB 85 PERCENT Cl 101.4 LITER / HOUR (65 KILOGRAM) HT 0.12 HOUR SOLUBILITY SPARINGLY SOLUBLE IN WATER | THYMIDYLATE SYNTHASE PDB 3KVR (TRAPPING OF AN OXOCARBENIUM ION INTERMEDIATE IN UP CRYSTALS) LIGAND CODE = URF (link to the list of PDB complexes) Download experimental 3D coordinates of URF with added hydrogens | Thymidylate synthase UNIPROT P04818 TYMS more at DrugCentral | EMA ANSM (in French) Inxight Drugs Dailymed Drugs.com VigiAccess SIDER side effects Chemical Probes Portal ChEMBL BindingDB DrugBank |
| M FLUOROURACIL (is an active metabolite) 
| FLUOROURACIL | ATC L01BC02 ATC L01BC52
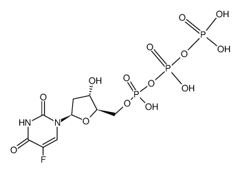
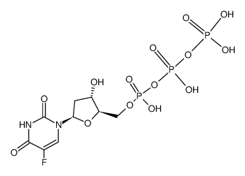
ANTINEOPLASTIC BREAST CANCER COLORECTAL CANCER COLON CANCER ANTIMETABOLITES NUCLEOSIDE METABOLIC INHIBITOR NUCLEAR TRANSCRIPTIONAL ENZYMES CAN MISTAKENLY INCORPORATE FUTP IN PLACE OF URIDINE TRIPHOSPHATE (UTP) DURING THE SYNTHESIS OF RNA | - | | DNA PDB 5WNY (DNA POLYMERASE BETA SUBSTRATE COMPLEX WITH INCOMING 5-FDUTP) LIGAND CODE = B7P (link to the list of PDB complexes) Download experimental 3D coordinates of B7P with added hydrogens | Thymidylate synthase UNIPROT P04818 TYMS more at DrugCentral | EMA ANSM (in French) Inxight Drugs Dailymed Drugs.com VigiAccess SIDER side effects Chemical Probes Portal ChEMBL BindingDB DrugBank |