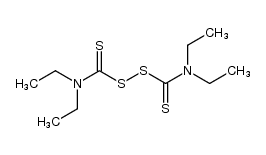
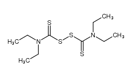
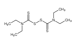
| DISULFIRAM 
| DISULFIRAM | ATC N07BB01 ATC P03AA04 ATC P03AA54
NERVOUS SYSTEM BLOCKS THE OXIDATION OF ALCOHOL AND PROMOTES UNPLEASANT SYMPTOMS TREATMENT OF CHRONIC ALCOHOL PATIENTS | ORAL | SOLUBILITY SOLUBLE IN WATER | ALCOHOL DEHYDROGENASE | Aldehyde dehydrogenase, mitochondrial UNIPROT P05091 ALDH2 more at DrugCentral | EMA ANSM (in French) Inxight Drugs Dailymed Drugs.com VigiAccess SIDER side effects Chemical Probes Portal ChEMBL BindingDB DrugBank |