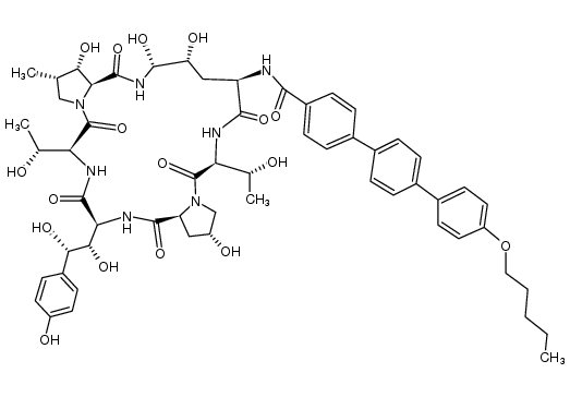
| ANIDULAFUNGIN 
| ANIDULAFUNGIN | ATC J02AX06
ANTIINFECTIVES ANTIFUNGAL ANTIBIOTICS | INTRAVENOUS INJECTION | Cmax 9.5 MICROMOLAR VD 40 LITER PPB 99 PERCENT Cl 0.78 LITER / HOUR HT 50.3 HOUR SOLUBILITY PRACTICALLY INSOLUBLE IN WATER | BETA-1,3-GLUCAN SYNTHASE | Beta-1,3-glucan synthase catalytic subunit 1 UNIPROT O13428 GSC1 more at DrugCentral | EMA ANSM (in French) Inxight Drugs Dailymed Drugs.com VigiAccess SIDER side effects Chemical Probes Portal ChEMBL BindingDB DrugBank |