| FONDAPARINUX 
| FONDAPARINUX | ATC B01AX05
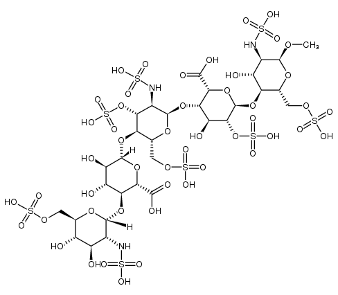
BLOOD ANTICOAGULANTS ANTITHROMBOTICS FACTOR XA INHIBITOR | SUBCUTANEOUS | Cmax 0.22 MICROMOLAR Tmax 2 HOUR F 100 PERCENT VD 9 LITER PPB 0 PERCENT Cl 0.32 LITER / HOUR (EQN) HT 19 HOUR | ANTITHROMBIN-III PDB 4X7R (CRYSTAL STRUCTURE OF S. AUREUS TARM G117R MUTANT IN COMPLEX WITH FONDAPARINUX, ALPHA-GLCNAC-GLYCEROL AND UDP) LIGAND CODE = NTO (link to the list of PDB complexes) Download experimental 3D coordinates of NTO with added hydrogens | Antithrombin-III UNIPROT P01008 SERPINC1 more at DrugCentral | EMA ANSM (in French) Inxight Drugs Dailymed Drugs.com VigiAccess SIDER side effects Chemical Probes Portal ChEMBL BindingDB DrugBank |