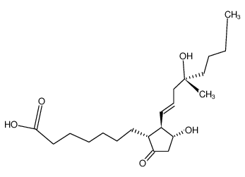
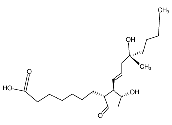
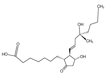
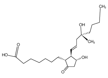
| M MISOPROSTOL (is an active metabolite) 
| MISOPROSTOL | ATC A02BB01 ATC G02AD06 ATC M01AE56
METABOLISM ANTIULCERATIVE PROSTAGLANDINS SYNTHETIC PROSTAGLANDIN E1 ANALOG | - | Cmax 2.2 NANOMOLAR Tmax 0.2 HOUR PPB 90 PERCENT HT 0.5 HOUR | PROSTAGLANDIN RECEPTOR | Prostaglandin E2 receptor EP3 subtype UNIPROT P43115 PTGER3 more at DrugCentral | EMA ANSM (in French) Inxight Drugs Dailymed Drugs.com VigiAccess SIDER side effects Chemical Probes Portal ChEMBL BindingDB DrugBank |