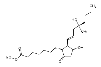
| MISOPROSTOL (has an active metabolite) 
| MISOPROSTOL | ATC A02BB01 ATC G02AD06 ATC M01AE56
METABOLISM ANTIULCERATIVE PROSTAGLANDINS SYNTHETIC PROSTAGLANDIN E1 ANALOG | ORAL | SOLUBILITY SOLUBLE IN WATER | PROSTAGLANDIN RECEPTOR | Prostaglandin E2 receptor EP3 subtype UNIPROT P43115 PTGER3 more at DrugCentral | EMA ANSM (in French) Inxight Drugs Dailymed Drugs.com VigiAccess SIDER side effects Chemical Probes Portal ChEMBL BindingDB DrugBank |