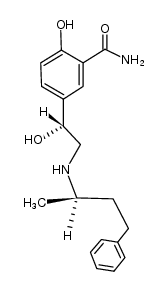
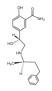
| LABETALOL 
| LABETALOL | ATC C07AG01 ATC C07CG01 ATC C07BG01
CARDIOVASCULAR ANTIHYPERTENSIVE ANTIANGINAL ADRENERGIC ALPHA ANTAGONISTS ADRENERGIC BETA ANTAGONISTS SYMPATHOLYTICS | INJECTION ORAL INTRAVENOUS | Tmax 1.5 HOUR F 25 PERCENT VD 312 LITER (65 KILOGRAM) PPB 50 PERCENT Cl 128 LITER / HOUR (65 KILOGRAM) HT 7 HOUR SOLUBILITY SOLUBLE IN WATER | ALPHA-1 ADRENERGIC RECEPTOR BETA ADRENERGIC RECEPTOR | Beta-1 adrenergic receptor UNIPROT P08588 ADRB1 -- Beta-2 adrenergic receptor UNIPROT P07550 ADRB2 more at DrugCentral | EMA ANSM (in French) Inxight Drugs Dailymed Drugs.com VigiAccess SIDER side effects Chemical Probes Portal ChEMBL BindingDB DrugBank |