| VERAPAMIL 
| VERAPAMIL | ATC C09BB10 ATC C08DA01 ATC C08DA51
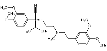
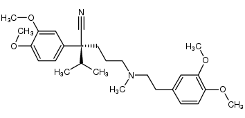
CARDIOVASCULAR CALCIUM ION INFLUX INHIBITOR L-TYPE CALCIUM CHANNEL BLOCKER CORONARY VASODILATOR ANTIARRHYTHMIC | INJECTION ORAL INTRAVENOUS | Cmax 881 NANOMOLAR Tmax 1.5 HOUR F 13 PERCENT VD 240.5 LITER (65 KILOGRAM) PPB 90 PERCENT Cl 70.2 LITER / HOUR (65 KILOGRAM) HT 5.1 HOUR SOLUBILITY SOLUBLE IN WATER | VOLTAGE-DEPENDENT CALCIUM CHANNEL PDB 5C6O (PROTEIN B) LIGAND CODE = 4YH (link to the list of PDB complexes) Download experimental 3D coordinates of 4YH with added hydrogens | Voltage-dependent L-type calcium channel subunit alpha-1C UNIPROT Q13936 CACNA1C -- Voltage-dependent L-type calcium channel subunit alpha-1S UNIPROT Q13698 CACNA1S more at DrugCentral | EMA ANSM (in French) Inxight Drugs Dailymed Drugs.com VigiAccess SIDER side effects Chemical Probes Portal ChEMBL BindingDB DrugBank |