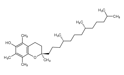
| ALPHA-TOCOPHEROL (is an active metabolite) 
| ALPHA-TOCOPHEROL VITAMIN E TOCOPHEROL | NATURAL MOLECULE (link) ATC A11HA03
METABOLISM ANTIOXIDANTS VITAMINS PROTECTS AGAINST FREE RADICAL DAMAGE | INJECTION INTRAVENOUS | | ALPHA-TOCOPHEROL TRANSFER PROTEIN (ALPHA-TTP) (PMID24231105) PDB 5MUG (SELF-ASSEMBLED ALPHA-TOCOPHEROL TRANSFER PROTEIN NANOPARTICLES PROMOTE VITAMIN E DELIVERY ACROSS AN ENDOTHELIAL BARRIER) LIGAND CODE = VIV (link to the list of PDB complexes) Download experimental 3D coordinates of VIV with added hydrogens | Glutathione S-transferase P UNIPROT P09211 -- Alpha-tocopherol transfer protein UNIPROT P49638 more at DrugCentral | EMA ANSM (in French) Inxight Drugs Dailymed Drugs.com VigiAccess SIDER side effects Chemical Probes Portal ChEMBL BindingDB DrugBank |