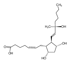
| CARBOPROST 
| CARBOPROST | ATC G02AD04
GENITO OXYTOCIC ABORTIFACIENT AGENTS, NONSTEROIDAL STIMULATES THE SMOOTH MUSCLE OF GASTROINTESTINAL TRACT ANALOG OF NATURALLY OCCURRING PROSTAGLANDIN F2ALPHA | INJECTION | Cmax 5.6 NANOMOLAR Tmax 1.5 HOUR SOLUBILITY SOLUBLE IN WATER (75 MILLIGRAM / MILLILITER) | PROSTAGLANDIN F2ALPHA FP RECEPTOR | Prostaglandin F2-alpha receptor UNIPROT P43088 PTGFR more at DrugCentral | EMA ANSM (in French) Inxight Drugs Dailymed Drugs.com VigiAccess SIDER side effects Chemical Probes Portal ChEMBL BindingDB DrugBank |