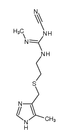
| CIMETIDINE 
| CIMETIDINE | ATC A02BA01 ATC A02BA51
METABOLISM HISTAMINE H2 RECEPTOR BLOCKER ANTIHISTAMINE INHIBIT GASTRIC ACID SECRETION | ORAL INJECTION | Tmax 1.1 HOUR VD 78 LITER (65 KILOGRAM) PPB 22 PERCENT Cl 31.6 LITER / HOUR (65 KILOGRAM) HT 2 HOUR SOLUBILITY SLIGHTLY SOLUBLE IN WATER | HISTAMINE H2 RECEPTOR | Histamine H2 receptor UNIPROT P25021 HRH2 more at DrugCentral | EMA ANSM (in French) Inxight Drugs Dailymed Drugs.com VigiAccess SIDER side effects Chemical Probes Portal ChEMBL BindingDB DrugBank |