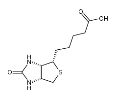
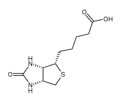
| BIOTIN 
| BIOTIN | NATURAL MOLECULE (link) ATC A11HA05
METABOLISM VITAMIN B7 | INJECTION INTRAVENOUS | | PDB 1SWR (CORE-STREPTAVIDIN MUTANT W120A IN COMPLEX WITH BIOTIN AT PH 7.5) LIGAND CODE = BTN (link to the list of PDB complexes) Download experimental 3D coordinates of BTN with added hydrogens | Insulin-degrading enzyme UNIPROT P14735 IDE more at DrugCentral | EMA ANSM (in French) Inxight Drugs Dailymed Drugs.com VigiAccess SIDER side effects Chemical Probes Portal ChEMBL BindingDB DrugBank |