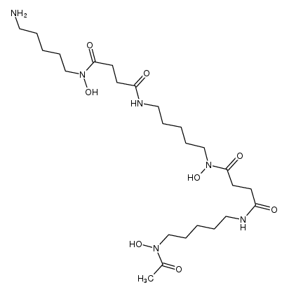
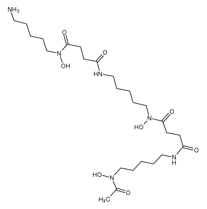
| DEFEROXAMINE 
| DEFEROXAMINE | NATURAL MOLECULE (link) ATC V03AC01
VARIOUS IRON CHELATING AGENT ANTIMALARIALS | INJECTION | Cmax 15.5 MICROMOLAR Tmax 0.5 HOUR F 2 PERCENT PPB 10 PERCENT HT 6 HOUR SOLUBILITY FREELY SOLUBLE IN WATER | XANTHINE DEHYDROGENASE/OXIDASE (PMID12169576) | Unknown more at DrugCentral | EMA ANSM (in French) Inxight Drugs Dailymed Drugs.com VigiAccess SIDER side effects Chemical Probes Portal ChEMBL BindingDB DrugBank |