| PENTAZOCINE 
| PENTAZOCINE | ATC N02AD01 ATC N02AD51
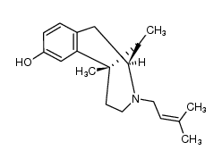
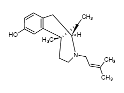
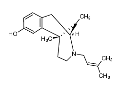
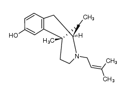
NERVOUS SYSTEM ANALGESICS, OPIOID WITH AGONIST/ANTAGONIST ACTION NARCOTIC ANTAGONISTS (+)-PENTAZOCINE IS A SELECTIVE SIGMA-1 RECEPTOR (SIG-1R) AGONIST (PMID25065832) | INJECTION ORAL | Tmax 1.7 HOUR VD 221 LITER (65 KILOGRAM) PPB 61 PERCENT Cl 89.7 LITER / HOUR (65 KILOGRAM) HT 3.6 HOUR SOLUBILITY SOLUBLE IN ACIDIC AQUEOUS SOLUTION | SIGMA OPIOID RECEPTOR PDB 6DK1 (HUMAN SIGMA-1 RECEPTOR BOUND TO (+)-PENTAZOCINE) LIGAND CODE = GM4 (link to the list of PDB complexes) Download experimental 3D coordinates of GM4 with added hydrogens | Sigma non-opioid intracellular receptor 1 UNIPROT Q99720 SIGMAR1 more at DrugCentral | EMA ANSM (in French) Inxight Drugs Dailymed Drugs.com VigiAccess SIDER side effects Chemical Probes Portal ChEMBL BindingDB DrugBank |