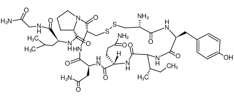
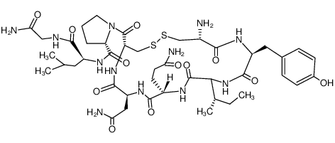
| OXYTOCIN 
| OXYTOCIN | ATC G02AC01 ATC H01BB02
HORMONES OXYTOCIC ANTI-TOCOLYTIC AGENTS LABOR INDUCTION AGENTS | NASAL INJECTION | VD 33.2 LITER (PMID8568623) Cl 85.2 LITER / HOUR (65 KILOGRAM) (PMID6486188) HT 0.3 HOUR | OXYTOCIN RECEPTOR (OTR) PDB 1NPO (BOVINE NEUROPHYSIN II) | Oxytocin receptor UNIPROT P30559 OXTR more at DrugCentral | EMA ANSM (in French) Inxight Drugs Dailymed Drugs.com VigiAccess SIDER side effects Chemical Probes Portal ChEMBL BindingDB DrugBank |