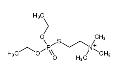
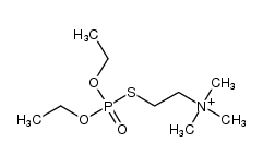
| ECHOTHIOPHATE 
| ECHOTHIOPHATE | ATC S01EB03
CHOLINESTERASE INHIBITORS MIOTICS PARASYMPATHOMIMETICS TREATMENT OF CHRONIC OPEN-ANGLE GLAUCOMA | OPHTHALMIC | SOLUBILITY SOLUBLE IN WATER | CHOLINESTERASE | Acetylcholinesterase UNIPROT P22303 ACHE more at DrugCentral | EMA ANSM (in French) Inxight Drugs Dailymed Drugs.com VigiAccess SIDER side effects Chemical Probes Portal ChEMBL BindingDB DrugBank |