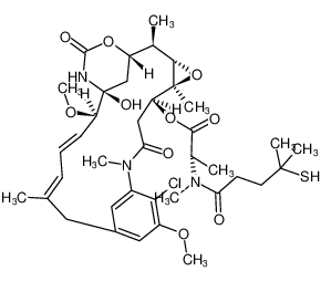
| SORAVTANSINE 
| SORAVTANSINE MIRVETUXIMAB SORAVTANSINE-GYNX | NATURAL MOLECULE (link) ATC L01FX26
ANTINEOPLASTIC FOLATE RECEPTOR ALPHA (FRALPHA)-DIRECTED ANTIBODY MICROTUBULE INHIBITOR CONJUGATE ANTIBODY-DRUG CONJUGATE (ADC) DM4 IS A MAYTANSINE DERIVATIVE DM4 DISRUPTS THE MICROTUBULE NETWORK WITHIN THE CELL, RESULTING IN CELL CYCLE ARREST AND APOPTOTIC CELL DEATH TREATMENT OF ADULT PATIENTS WITH FR ALPHA POSITIVE, PLATINUM-RESISTANT EPITHELIAL OVARIAN, FALLOPIAN TUBE, OR PRIMARY PERITONEAL CANCER | INJECTION | Cmax 5.2 NANOMOLAR PPB 99 PERCENT Cl 13.8 LITER / HOUR HT 67.2 HOUR | TUBULIN | TUBULIN TBB1_HUMAN INHIBITOR UNIPROT P04350 more at DrugCentral | EMA ANSM (in French) Inxight Drugs Dailymed Drugs.com VigiAccess SIDER side effects Chemical Probes Portal ChEMBL BindingDB DrugBank |