| REZAFUNGIN 
| REZAFUNGIN | ATC J02AX08
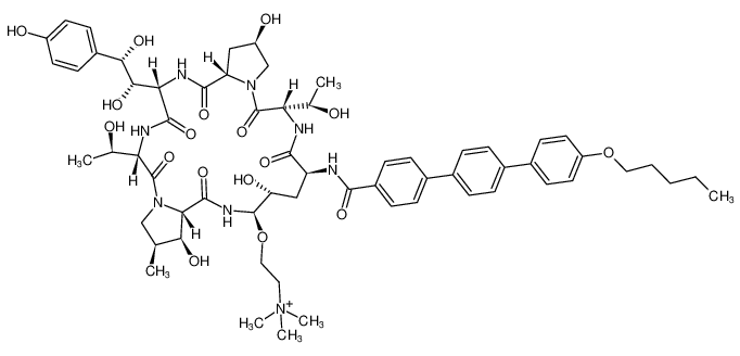
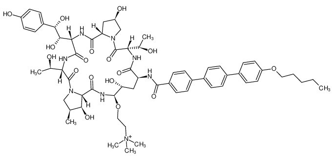
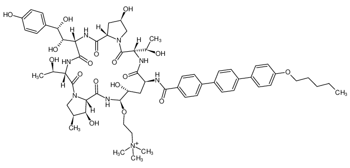
ANTIINFECTIVES ECHINOCANDIN ANTIFUNGAL TREATMENT OF CANDIDEMIA AND INVASIVE CANDIDIASIS SEMISYNTHETIC LIPOPEPTIDE INHIBITS THE SYNTHESIS OF 1,3-BETA-D-GLUCAN | INTRAVENOUS | Cmax 15.6 MICROMOLAR VD 67 LITER PPB 97.1 PERCENT Cl 0.35 LITER / HOUR HT 152 HOUR SOLUBILITY FREELY SOLUBLE IN WATER | 1,3-BETA-D-GLUCAN SYNTHASE | 1,3-beta-glucan synthase UNIPROT O13428 more at DrugCentral | EMA ANSM (in French) Inxight Drugs Dailymed Drugs.com VigiAccess SIDER side effects Chemical Probes Portal ChEMBL BindingDB DrugBank |