| NIRMATRELVIR 
| NIRMATRELVIR | ATC J05AE30
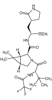
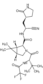
ANTIINFECTIVES ANTIVIRAL SEVERE ACUTE RESPIRATORY SYNDROME CORONAVIRUS 2 (SARS-COV-2) MAIN PROTEASE (MPRO: ALSO REFERRED TO AS 3CLPRO OR NSP5 PROTEASE) INHIBITOR | ORAL | Cmax 6.8 MICROMOLAR Tmax 3 HOUR VD 104.7 LITER PPB 69 PERCENT Cl 8.99 LITER / HOUR HT 6.05 HOUR | SARS-COV-2 MAIN PROTEASE MPRO PDB 7SI9 (ROOM TEMPERATURE X-RAY STRUCTURE OF SARS-COV-2 MAIN PROTEASE (MPRO) IN COMPLEX WITH PF-07321332) LIGAND CODE = 4WI (link to the list of PDB complexes) Download experimental 3D coordinates of 4WI with added hydrogens | Replicase polyprotein 1ab rep UNIPROT P0DTD1 more at DrugCentral | EMA ANSM (in French) Inxight Drugs Dailymed Drugs.com VigiAccess SIDER side effects Chemical Probes Portal ChEMBL BindingDB DrugBank |