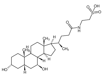
| TAURURSODIOL 
| TAURURSODIOL | NERVOUS SYSTEM TREATMENT OF AMYOTROPHIC LATERAL SCLEROSIS (ALS) AMBIPHILIC BILE ACID TAURINE CONJUGATE OF URSODIOL | ORAL | Tmax 4.5 HOUR PPB 98 PERCENT SOLUBILITY SPARINGLY SOLUBLE IN WATER | PDB 5DLV (CRYSTAL STRUCTURE OF AUTOTAXIN (ENPP2) WITH TAUROURSODEOXYCHOLIC ACID (TUDCA)) LIGAND CODE = 5D5 (link to the list of PDB complexes) Download experimental 3D coordinates of 5D5 with added hydrogens | Unknown more at DrugCentral | EMA ANSM (in French) Inxight Drugs Dailymed Drugs.com VigiAccess SIDER side effects Chemical Probes Portal ChEMBL BindingDB DrugBank |