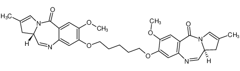
SG3199 
| LONCASTUXIMAB TESIRINE-LPYL | ATC L01FX22
ANTINEOPLASTIC TREATMENT OF B-CELL LYMPHOMA ANTIBODY-DRUG CONJUGATE (ADC) TARGETING CD19 PYRROLOBENZODIAZEPINE (PBD) DIMER CYTOTOXIC ALKYLAT ING AGENT | INJECTION | VD 7.11 LITER | DNA | B-lymphocyte antigen CD19 UNIPROT P15391 CD19 more at DrugCentral | EMA ANSM (in French) Inxight Drugs Dailymed Drugs.com VigiAccess SIDER side effects Chemical Probes Portal ChEMBL BindingDB DrugBank |