Cheminformatic Tools and Databases for Pharmacology

session 59173 - Total of 2 hits - Display   hits per page:

Add another drug(s) by one keyword:
Exemple: “nib“ and click on the Search button (do not press Enter on the keyboard)

1 INNClassRoute (list)PK parameters= Cmax; Tmax; F: bioavailability; t1/2: half-life; VD: volume of distribution; Cl: clearance; PPB: plasma protein binding;(EQN means that the equation t1/2 = VD / Cl * 0.693 was usedPrimary Target and PDB code of Protein-Drug complexTargets from DrugCentral Links
MAFODOTIN DISCONTINUED

BELANTAMAB MAFODOTIN-BLMF
MAFODOTIN


ATC L01FX15

ANTINEOPLASTIC
TREATMENT OF MULTIPLE MYELOMA
ANTIBODY-DRUG CONJUGATE (ADC)
MICROTUBULE INHIBITOR

INTRAVENOUS

Tmax 0.78 HOUR

VD 11 LITER

TUBULIN

IgG receptor FcRn large subunit p51 UNIPROT P55899 FCGRT -- High affinity immunoglobulin gamma Fc receptor I UNIPROT P12314 FCGR1A

more at DrugCentral

EMA

ANSM (in French)

Inxight Drugs
Dailymed
Drugs.com

VigiAccess
SIDER side effects

Chemical Probes Portal

ChEMBL
BindingDB
DrugBank

2 INNClassRoute (list)PK parameters= Cmax; Tmax; F: bioavailability; t1/2: half-life; VD: volume of distribution; Cl: clearance; PPB: plasma protein binding;(EQN means that the equation t1/2 = VD / Cl * 0.693 was usedPrimary Target and PDB code of Protein-Drug complexTargets from DrugCentral Links
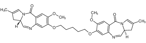
SG3199

LONCASTUXIMAB TESIRINE-LPYL


ATC L01FX22

ANTINEOPLASTIC
TREATMENT OF B-CELL LYMPHOMA
ANTIBODY-DRUG CONJUGATE (ADC) TARGETING CD19
PYRROLOBENZODIAZEPINE (PBD) DIMER CYTOTOXIC ALKYLAT ING AGENT

INJECTION

VD 7.11 LITER

DNA

B-lymphocyte antigen CD19 UNIPROT P15391 CD19

more at DrugCentral

EMA

ANSM (in French)

Inxight Drugs
Dailymed
Drugs.com

VigiAccess
SIDER side effects

Chemical Probes Portal

ChEMBL
BindingDB
DrugBank



Copyright © 2019 Université Côte d'Azur CNRS - All rights reserved
  | Contact |