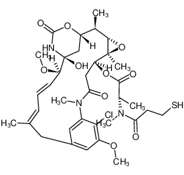
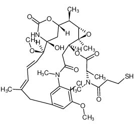
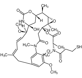
| MAYTANSINE 
| MAYTANSINE ADO-TRASTUZUMAB EMTANSINE | NATURAL MOLECULE (link) ATC L01FD03
ANTINEOPLASTIC TREATMENT OF PATIENTS WITH HER2-POSITIVE, METASTATIC BREAST CANCER WHO PREVIOUSLY RECEIVED TRASTUZUMAB AND A TAXANE, SEPARATELY OR IN COMBINATION HER2-TARGETED ANTIBODY-DRUG CONJUGATE (ADC) EMTANSINE REFERS TO THE MCC-DM1 DM1 IS A MAYTANSINE DERIVATIVE AND MCC IS STABLE THIOETHER LINKER (4-[N-MALEIMIDOMETHYL] CYCLOHEXANE-1-CARBOXYLATE) LEAD TO THE RELEASE OF DM1 A MICROTUBULE INHIBITOR | INJECTION | Cmax 6 NANOMOLAR PPB 93 PERCENT | TUBULIN | Receptor tyrosine-protein kinase erbB-2 UNIPROT P04626 ERBB2_HUMAN -- Tubulin beta UNIPROT P07437 TBB5_HUMAN more at DrugCentral | EMA ANSM (in French) Inxight Drugs Dailymed Drugs.com VigiAccess SIDER side effects Chemical Probes Portal ChEMBL BindingDB DrugBank |