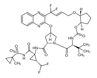
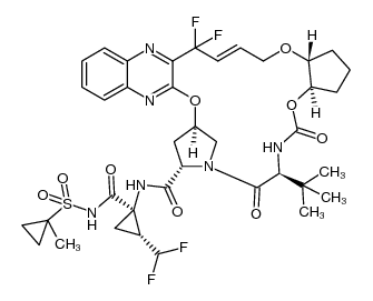
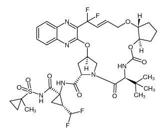
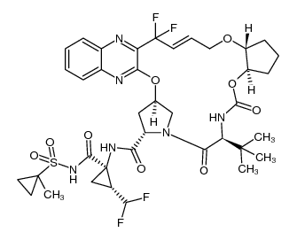
| GLECAPREVIR 
| GLECAPREVIR | ATC J05AP57
ANTIINFECTIVES TREATMENT OF HEPATITIS C VIRUS (HCV) NS3/4A PROTEASE INHIBITOR | ORAL | Cmax 712.4 NANOMOLAR Tmax 5 HOUR PPB 97.5 PERCENT HT 6 HOUR SOLUBILITY PRACTICALLY INSOLUBLE IN WATER | NS3/4A PROTEASE INHIBITOR PDB 6P6T (HCV NS3,4A PROTEASE DOMAIN OF GENOTYPE 4A IN COMPLEX WITH GLECAPREVIR) LIGAND CODE = O31 (link to the list of PDB complexes) Download experimental 3D coordinates of O31 with added hydrogens | Unknown more at DrugCentral | EMA ANSM (in French) Inxight Drugs Dailymed Drugs.com VigiAccess SIDER side effects Chemical Probes Portal ChEMBL BindingDB DrugBank |