| PLECANATIDE 
| PLECANATIDE | ATC A06AX07
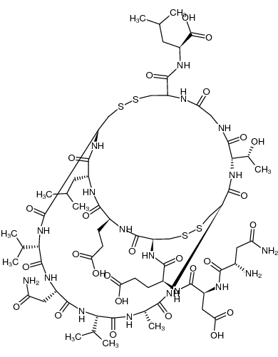
METABOLISM TREATMENT OF CHRONIC IDIOPATHIC CONSTIPATION (CIC) GUANYLATE CYCLASE-C AGONIST STRUCTURALLY RELATED TO HUMAN UROGUANYLIN | ORAL | SOLUBILITY SOLUBLE IN WATER | GUANYLATE CYCLASE-C | Heat-stable enterotoxin receptor UNIPROT P25092 GUCY2C more at DrugCentral | EMA ANSM (in French) Inxight Drugs Dailymed Drugs.com VigiAccess SIDER side effects Chemical Probes Portal ChEMBL BindingDB DrugBank |