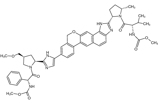
| VELPATASVIR 
| VELPATASVIR | ATC J05AP55 ATC J05AP56
ANTIINFECTIVES HEPATITIS C VIRUS (HCV) NS5A INHIBITOR | ORAL | Cmax 293 NANOMOLAR Tmax 3 HOUR PPB 99.5 PERCENT HT 15 HOUR SOLUBILITY PRACTICALLY INSOLUBLE IN WATER ABOVE PH 5 | NS5A | Genome polyprotein UNIPROT P26663 -- Genome polyprotein UNIPROT P27958 more at DrugCentral | EMA ANSM (in French) Inxight Drugs Dailymed Drugs.com VigiAccess SIDER side effects Chemical Probes Portal ChEMBL BindingDB DrugBank |