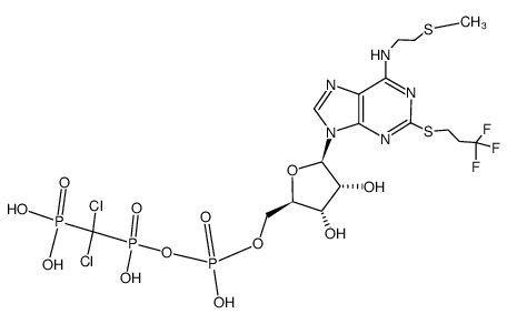
| CANGRELOR 
| CANGRELOR | ATC B01AC25
BLOOD P2Y12 PLATELET RECEPTOR INHIBITOR | INTRAVENOUS | Tmax 0.033 HOUR VD 3.9 LITER PPB 97.5 PERCENT Cl 36 LITER / HOUR (EQN) HT 0.075 HOUR | P2Y12 PLATELET RECEPTOR | P2Y purinoceptor 12 UNIPROT Q9H244 P2RY12 more at DrugCentral | EMA ANSM (in French) Inxight Drugs Dailymed Drugs.com VigiAccess SIDER side effects Chemical Probes Portal ChEMBL BindingDB DrugBank |