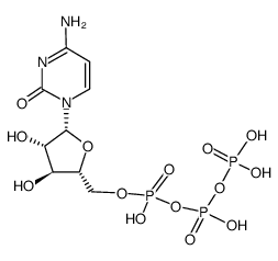
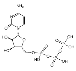
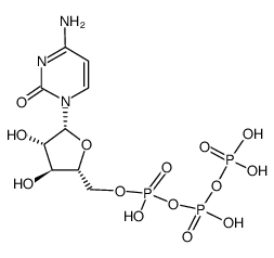
| M CYTARABINE (is an active metabolite) 
| CYTARABINE | ATC L01BC01 ATC L01XY01
ANTINEOPLASTIC ANTIMETABOLITES | - | | DNA POLYMERASE PDB 6DW3 (SAMHD1 BOUND TO CYTARABINE-TP IN THE CATALYTIC POCKET) LIGAND CODE = HF4 (link to the list of PDB complexes) Download experimental 3D coordinates of HF4 with added hydrogens | DNA polymerase (alpha,delta,epsilon) UNIPROT P09884 POLA1 more at DrugCentral | EMA ANSM (in French) Inxight Drugs Dailymed Drugs.com VigiAccess SIDER side effects Chemical Probes Portal ChEMBL BindingDB DrugBank |