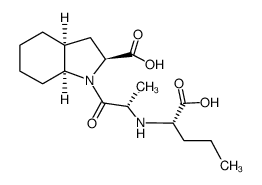
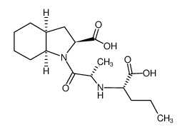
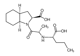
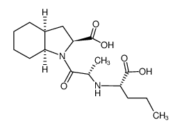
| PERINDOPRILAT (is an active metabolite) 
| PERINDOPRILAT | ATC C10BX15 ATC C10BX12 ATC C10BX11 ATC C09AA04 ATC C09BB04 ATC C09BX02 ATC C09BA04 ATC C09BX01 ATC C09BX04 ATC C09BX06 ATC C10BX21 ATC C10BX14 ATC C10BX13
CARDIOVASCULAR ANTIHYPERTENSIVE ACE INHIBITOR | - | Tmax 5 HOUR F 25 PERCENT VD 49.4 LITER (65 KILOGRAM) PPB 15 PERCENT Cl 6.6 LITER / HOUR (65 KILOGRAM) HT 29 HOUR | ANGIOTENSIN-CONVERTING ENZYME PDB 2X94 (CRYSTAL STRUCTURE OF ANCE-PERINDOPRILAT COMPLEX) LIGAND CODE = X94 (link to the list of PDB complexes) Download experimental 3D coordinates of X94 with added hydrogens | Angiotensin-converting enzyme UNIPROT P12821 ACE more at DrugCentral | EMA ANSM (in French) Inxight Drugs Dailymed Drugs.com VigiAccess SIDER side effects Chemical Probes Portal ChEMBL BindingDB DrugBank |