| M GEMCITABINE (is an active metabolite) 
| GEMCITABINE | ATC L01BC05
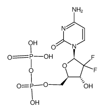
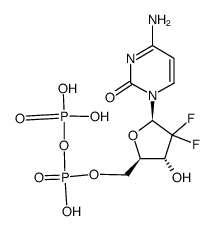
ANTINEOPLASTIC ANTIMETABOLITES | - | | DEOXYCYTIDINE KINASE PDB 2EUD (STRUCTURES OF YEAST RIBONUCLEOTIDE REDUCTASE I COMPLEXED WITH LIGANDS AND SUBUNIT PEPTIDES) LIGAND CODE = GCQ (link to the list of PDB complexes) Download experimental 3D coordinates of GCQ with added hydrogens | Ribonucleoside-diphosphate reductase large subunit UNIPROT P23921 RRM1 -- Ribonucleoside-diphosphate reductase subunit M2 UNIPROT P31350 RRM2 more at DrugCentral | EMA ANSM (in French) Inxight Drugs Dailymed Drugs.com VigiAccess SIDER side effects Chemical Probes Portal ChEMBL BindingDB DrugBank |