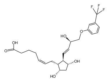
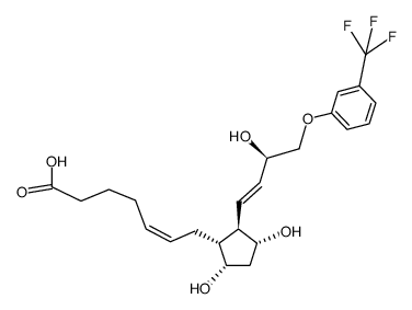
| M TRAVOPROST (is an active metabolite) 
| TRAVOPROST | ATC S01EE04
SENSORY ANTIHYPERTENSIVE ANTIGLAUCOMA OPHTHALMOLOGICALS PROSTAGLANDIN ANALOGUES FP PROSTANOID RECEPTOR AGONIST | - | Cmax 0.04 NANOMOLAR Tmax 0.5 HOUR HT 0.75 HOUR | FP PROSTANOID RECEPTOR | Prostaglandin F2-alpha receptor UNIPROT P43088 PTGFR more at DrugCentral | EMA ANSM (in French) Inxight Drugs Dailymed Drugs.com VigiAccess SIDER side effects Chemical Probes Portal ChEMBL BindingDB DrugBank |