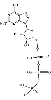
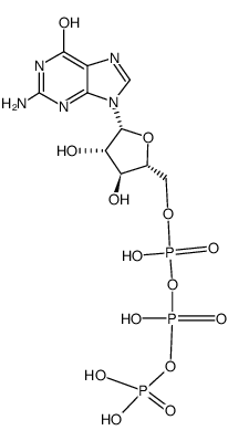
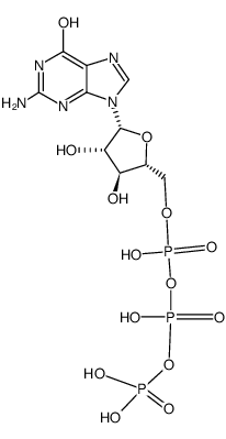
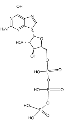
| M NELARABINE (is an active metabolite) 
| NELARABINE | ATC L01BB07
ANTINEOPLASTIC TREATMENT OF PATIENTS WITH T-CELL ACUTE LYMPHOBLASTIC LEUKEMIA AND T-CELL LYMPHOBLASTIC LYMPHOMA FOR INCORPORATION INTO DE OXYRIBONUCLEIC ACID (DNA) | - | Cmax 86.5 MICROMOLAR VD 80 LITER PPB 25 PERCENT Cl 16.9 LITER / HOUR HT 3.2 HOUR | DNA | Unknown more at DrugCentral | EMA ANSM (in French) Inxight Drugs Dailymed Drugs.com VigiAccess SIDER side effects Chemical Probes Portal ChEMBL BindingDB DrugBank |