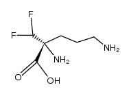
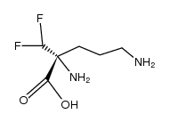
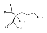
| EFLORNITHINE 
| EFLORNITHINE | ATC D11AX16 ATC L01XX79 ATC P01CX03
DERMATOLOGICALS INHIBITOR OF ORNITHINE DECARBOXYLASE (ODC) REDUCTION OF UNWANTED FACIAL HAIR IN WOMEN ANTIPARASITIC | INJECTION TOPICAL ORAL | Cmax 54.9 NANOMOLAR HT 8 HOUR | ORNITHINE DECARBOXYLASE (ODC) | Ornithine decarboxylase UNIPROT P11926 ODC1 -- Ornithine decarboxylase UNIPROT Q9TZZ6 more at DrugCentral | EMA ANSM (in French) Inxight Drugs Dailymed Drugs.com VigiAccess SIDER side effects Chemical Probes Portal ChEMBL BindingDB DrugBank |