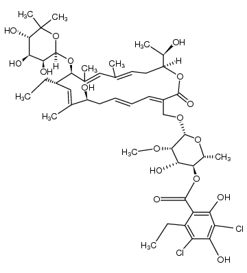
| M FIDAXOMICIN (is an active metabolite) 
| FIDAXOMICIN | ATC A07AA12
ANTIINFECTIVES MACROLIDE TREATMENT OF CLOSTRIDIUM DIFFICILE-ASSOCIATED DIARRHEA INHIBITOR RNA SYNTHESIS BY RNA POLYMERASES | - | Cmax 12.1 NANOMOLAR (200 MILLIGRAM) Tmax 1.02 HOUR HT 11.2 HOUR | BETA SUBUNIT OF RNA POLYMERASE | DNA-directed RNA polymerase UNIPROT Q182S6 rpoZ more at DrugCentral | EMA ANSM (in French) Inxight Drugs Dailymed Drugs.com VigiAccess SIDER side effects Chemical Probes Portal ChEMBL BindingDB DrugBank |