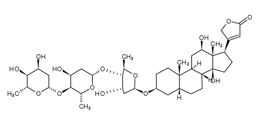
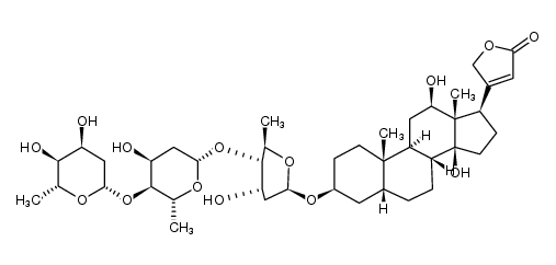
| DIGOXIN 
| DIGOXIN | ATC C01AA05
CARDIOVASCULAR ANTI-ARRHYTHMIA AGENTS CARDIOTONIC AGENTS DIGOXIN IS EXTRACTED FROM THE LEAVES OF DIGITALIS LANATA SODIUM-POTASSIUM ATPASE INHIBITOR | INJECTION ORAL | Tmax 2 HOUR F 70 PERCENT VD 266 LITER (65 KILOGRAM) PPB 25 PERCENT Cl 6.6 LITER / HOUR (65 KILOGRAM) HT 42 HOUR SOLUBILITY PRACTICALLY INSOLUBLE IN WATER | SODIUM-POTASSIUM ATPASE PDB 4RET (CRYSTAL STRUCTURE OF THE NA,K-ATPASE E2P-DIGOXIN COMPLEX WITH BOUND MAGNESIUM) LIGAND CODE = DGX (link to the list of PDB complexes) Download experimental 3D coordinates of DGX with added hydrogens | Sodium,potassium-transporting ATPase UNIPROT P05023 ATP1A1 more at DrugCentral | EMA ANSM (in French) Inxight Drugs Dailymed Drugs.com VigiAccess SIDER side effects Chemical Probes Portal ChEMBL BindingDB DrugBank |