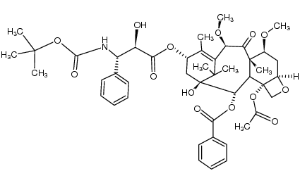
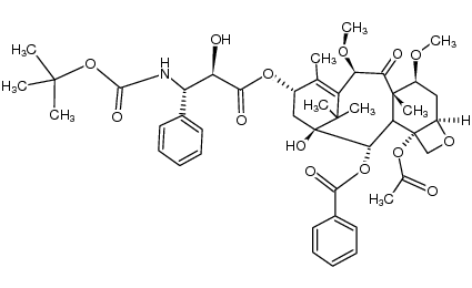
| CABAZITAXEL 
| CABAZITAXEL | ATC L01CD04
ANTINEOPLASTIC MICROTUBULE INHIBITOR HORMONE-REFRACTORY METASTATIC PROSTATE CANCER TAXANE INHIBITION OF MITOTIC AND INTERPHASE CELLULAR FUNCTION | INTRAVENOUS INJECTION | Cmax 270 NANOMOLAR (25 MILLIGRAM / M2) VD 4864 LITER PPB 91 PERCENT Cl 48.5 LITER / HOUR HT 95 HOUR SOLUBILITY PRACTICALLY INSOLUBLE IN WATER | MICROTUBULE BINDS TO TUBULIN AND PROMOTES ITS ASSEMBLY INTO MICROTUBULES WHILE SIMULTANEOUSLY INHIBITING DISASSEMBLY | Tubulin beta UNIPROT P07437 TUBB more at DrugCentral | EMA ANSM (in French) Inxight Drugs Dailymed Drugs.com VigiAccess SIDER side effects Chemical Probes Portal ChEMBL BindingDB DrugBank |