| ROMIDEPSIN 
| ROMIDEPSIN | ATC L01XH02
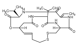
ANTINEOPLASTIC HISTONE DEACETYLASE (HDAC) INHIBITOR CUTANEOUS T-CELL LYMPHOMA (CTCL) | INTRAVENOUS | Cmax 0.698 MICROMOLAR (14 MILLIGRAM / M2) VD 78 LITER (65 KILOGRAM) PPB 93 PERCENT Cl 28.8 LITER / HOUR (65 KILOGRAM) HT 3 HOUR (14 MILLIGRAM / M2) | HISTONE DEACETYLASE (IC50 NANOMOLAR RANGE) | Histone deacetylase UNIPROT O15379 HDAC3 more at DrugCentral | EMA ANSM (in French) Inxight Drugs Dailymed Drugs.com VigiAccess SIDER side effects Chemical Probes Portal ChEMBL BindingDB DrugBank |