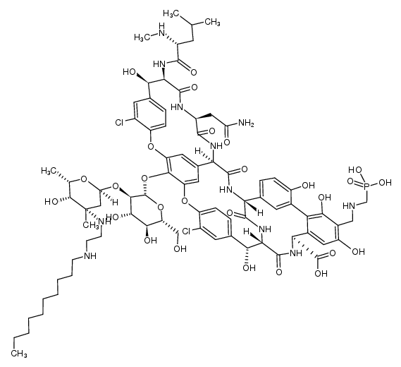
| TELAVANCIN 
| TELAVANCIN | ATC J01XA03
ANTIINFECTIVE LIPOGLYCOPEPTIDE ANTIBACTERIALS SKIN INFECTION GRAM-POSITIVE BACTERIA SYNTHETIC DERIVATIVE OF VANCOMYCIN INHIBITS BACTERIAL CELL WALL SYNTHESIS BY INTERFERING WITH THE POLYMERIZATION AND CROSS-LINKING OF PEPTIDOGLYCAN | INTRAVENOUS INJECTION | Cmax 57.4 MICROMOLAR (10 MILLIGRAM / KILOGRAM) VD 9.4 LITER (65 KILOGRAM) PPB 90 PERCENT Cl 0.9 LITER / HOUR (65 KILOGRAM) HT 8 HOUR SOLUBILITY SLIGHTLY SOLUBLE IN WATER | | Unknown more at DrugCentral | EMA ANSM (in French) Inxight Drugs Dailymed Drugs.com VigiAccess SIDER side effects Chemical Probes Portal ChEMBL BindingDB DrugBank |