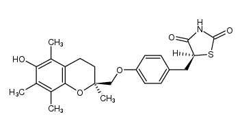
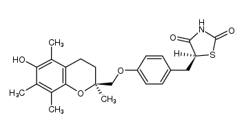
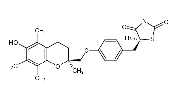
| TROGLITAZONE DISCONTINUED 
| TROGLITAZONE | ATC A10BG01
METABOLISM ANTIDIABETIC HYPOGLYCEMIC AGENTS PPAR AGONIST | ORAL | Cmax 6.39 MICROMOLAR (600 MILLIGRAM) VD 1202 LITER (65 KILOGRAM) PPB 99 PERCENT Cl 29.7 LITER / HOUR HT 25 HOUR SOLUBILITY PRATICALLY INSOLUBLE IN WATER | PEROXISOME PROLIFERATOR-ACTIVATED RECEPTOR GAMMA (PPAR) | Peroxisome proliferator-activated receptor gamma UNIPROT P37231 PPARG more at DrugCentral | EMA ANSM (in French) Inxight Drugs Dailymed Drugs.com VigiAccess SIDER side effects Chemical Probes Portal ChEMBL BindingDB DrugBank |