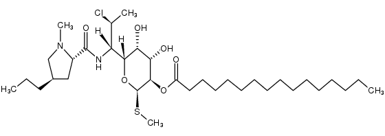
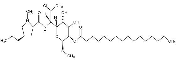
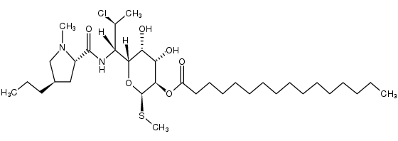
| CLINDAMYCIN PALMITATE (has an active metabolite) 
| CLINDAMYCIN PALMITATE | ATC D10AF01 ATC G01AA10 ATC J01FF01 ATC D10AF51
ANTIINFECTIVES ANTIBIOTIC ANTIBACTERIAL | ORAL | | 50S RIBOSOMAL SUBUNIT | Large ribosomal subunit protein uL10 UNIPROT P15825 rpl10 more at DrugCentral | EMA ANSM (in French) Inxight Drugs Dailymed Drugs.com VigiAccess SIDER side effects Chemical Probes Portal ChEMBL BindingDB DrugBank |